![]()
| Related Topics: | ||
To calculate a statistical value, select the appropriate function option on left side of the Function Option page. Then enter the required inputs and click Calculate. The following options are available.
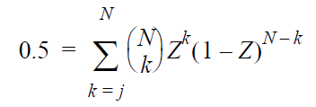
The Median Ranks option returns the probability of failure based on the sample size and order number of the failure. The probability estimates are at a 50% confidence level.
The median rank is obtained by solving the following equation for Z:

where:
N is the sample size.
j is the order number.
Z is the median rank.
The Other Ranks option returns the probability of failure based on the sample size and order number of the failure. The probability estimates are at a confidence level percentage point that is specified by the user.
The rank is obtained by solving the following equation for Z:

where:
N is the sample size.
j is the order number.
P is the confidence level.
Z is the rank.
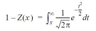
The Standard Normal Tables option returns the probability of observing a value less than or equal to x on the standard normal curve, given a value for x. To find the value of x given the probability, use the Inverse Standard Normal Values option.
The probability is obtained by solving the following equation for Z(x):

where Z(x) is the probability of observing a value less than or equal to x.

Inverse Standard Normal Values
The Inverse Standard Normal Tables option returns a value for x on the standard normal curve, given the probability of observing a value less than or equal to x. To find the probability given x, use the Standard Normal Tables option.
The output is obtained by solving the following equation for x:

where Z(x) is the probability of observing a value less than or equal to x.
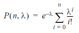
The Cumulative Poisson option returns the probability of an event occurring n times during a specified interval. The required inputs are n and the average rate of occurrence for the event, λ, where λ > 0.
The probability is obtained by solving for P(n, λ) in the following equation:

where:
n is the maximum number of occurrences (and the upper limit of the summation).
λ is the average rate of occurrence for the event.

Cumulative Binomial Probability
The Cumulative Binomial Probability option returns the probability of an event occurring k or more times in N trials. The required inputs are k, N and the probability (entered as a decimal number) of the event occurring per trial.
The probability is obtained by solving for P in the following equation:

where:
P is the probability of the event occurring k or more times in N trials.
p is the probability of the event occurring per trial.
N is the minimum number of trials (and the end of the summation).
k is the minimum number of occurrences (and the starting point of the summation).
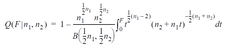
The F-Distribution option returns Q(F|n1, n2), the significance level at which we can reject the hypothesis that one sample has a smaller variance than another. The three inputs required are the degrees of freedom for both samples and the ratio of the observed dispersion of the first sample to that of the second. To find the ratio of the observed dispersion, use the Inverse F-Distribution Values option.
The output is obtained by solving for Q(F|n1, n2) in the following equation:

where:
n1 is the degrees of freedom for the first sample.
n2 is the degrees of freedom for the second sample.
F is the ratio of the observed dispersion of the first sample to that of the second.
B is the beta function.
The Inverse F-Distribution option returns F, the ratio of the observed dispersion of one sample to that of another. The three inputs required are the degrees of freedom for both samples and the significance level at which we can reject the hypothesis that the first sample has a smaller variance than the second. To find the significance level at which we can reject the hypothesis, use the F-Distribution Values option.
The output is obtained by solving for F in the following equation:

where:
n1 is the degrees of freedom for the first sample.
n2 is the degrees of freedom for the second sample.
Q(F|n1, n2) is the significance level at which we can reject the hypothesis that the first sample has a smaller variance than the second.
B is the beta function.
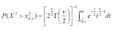
The Chi-Squared Values option returns the chi-squared value at the (1-d) percentile. The required inputs are the area to the right of the critical value and the number of degrees of freedom.
The output is obtained by solving for
in the following equation:

where:
d is the area to the right of the critical value.
v is the number of degrees of freedom.
X2 is a chi-squared random variable with v degrees of freedom.
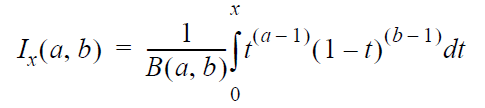
The Incomplete Beta Function option returns the value of Ix(a,b). The required inputs are the values of x, a and b.
The output is obtained by solving for Ix(a,b) in the following equation:

where 0 < x < 1.
The Gamma Function option returns the value of Γ(n). The only required input is n.
The output is obtained by solving for Γ(n) in the following equation:

where n > 0.
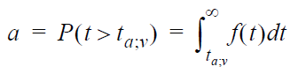
The Student’s t Values option returns the t-value of the Student's t-distribution, given the probability of observing a value equal or less than the t-value and the number of degrees of freedom.
The output is obtains by solving for t in the following equation:

where:
a is the probability of observing a value equal to or less than t.
v is the degrees of freedom.
© 1992-2015. ReliaSoft Corporation. ALL RIGHTS RESERVED.