![]()
| Related Topics: | ||
Description: Calculates variance based on the entire population (ignores logical values and text in the population).
Syntax: VARP(Number1, Number2, ...)
Number1, Number2, ... are 1 to 30 number arguments corresponding to a population.
Remarks:
VARP assumes that its arguments are the entire population. If your data represents a sample of the population, then compute the variance by using VAR.
Arguments can either be numbers or names, arrays, or references that contain numbers.
Logical values, and text representations of numbers that you type directly into the list of arguments are counted.
If an argument is an array or reference, only numbers in that array or reference are counted. Empty cells, logical values, text or error values in the array or reference are ignored.
Arguments that are error values or text that cannot be translated into numbers cause errors.
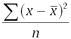
The equation for VARP is:

where x is the sample mean AVERAGE(Number1, Number2, …) and n is the sample size.
Example:
Using the data from the VAR example and assuming that only 10 tools are produced during the production run, VARP measures the variance of breaking strengths for all the tools.
VARP(A2:A11) = 678.84 [the variance of breaking strengths for all the tools, assuming that only 10 tools are produced]
© 1992-2013. ReliaSoft Corporation. ALL RIGHTS RESERVED.