![]()
| Related Topics: | ||
Description: Returns the Bessel function Jn(x).
Syntax: BESSELJ(Number, Order)
Number is the value at which to evaluate the function.
Order is the order of the Bessel function.
Remarks:
Number must be numeric.
Order must be numeric.
Order must be >= 0 and an integer.
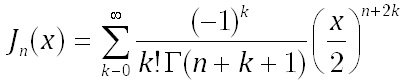
The n-th order modified Bessel function of the variable x is:

where:

Example:
Compute the Bessel function at x = 1.9 with an order of n = 2.
BESSELJ(1.9, 2) = 0.329926.
© 1992-2013. ReliaSoft Corporation. ALL RIGHTS RESERVED.