![]()
| Related Topics: | ||

Description: Returns the variance of the fitted model, which provides a measure of the spread of the failure times.
Syntax: AVAR(Data_Src)
Data_Src is the source data sheet for which the variance is calculated.
Remarks:
The Data_Src can be one of the following values:
If using a default data source, it must be either 1, 2, 3 or 4, as selected from the Data Source Index drop-down list.
It can take a data sheet name (e.g., "Folio1!Data 1").
It can take a variable name defined in via the Defined Names window (e.g., datasource).
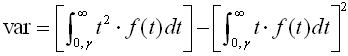
The variance of the life provides a measure of the spread of the failure times and is given by:

The larger the variance, the wider the spread of the failure times.
Example:
AVAR("Folio1!Data 1") = 1408.714462
Note that this value will vary depending on the source data set.
© 1992-2013. ReliaSoft Corporation. ALL RIGHTS RESERVED.