![]()
| Related Topics: | ||
Description: Calculates standard deviation based on the entire population given as arguments. Non-numerical values are ignored. The standard deviation is a measure of how widely values are dispersed from the average value (the mean).
Syntax: STDEVP(Number1, Number2, ...)
Number1, Number2,... are 1 to 30 number arguments corresponding to a population. You can also use a single array or a reference to an array instead of arguments separated by commas.
Remarks:
STDEVP assumes that its arguments are the entire population. If your data represents a sample of the population, then compute the standard deviation using STDEV.
For large sample sizes, STDEV and STDEVP return approximately equal values.
The standard deviation is calculated using the "biased" or "n" method.
Arguments can either be numbers or names, arrays, or references that contain numbers.
Logical values, and text representations of numbers that you type directly into the list of arguments are counted.
If an argument is an array or reference, only numbers in that array or reference are counted. Empty cells, logical values, text, or error values in the array or reference are ignored.
Arguments that are error values or text that cannot be translated into numbers cause errors.
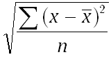
STDEVP uses the following formula:

where x is the sample mean AVERAGE(Number1, Number2, …) and n is the sample size.
Example:
Using the same data from the STDEV example and assuming that only 10 tools are produced during the production run, STDEVP measures the standard deviation of breaking strengths for all the tools.
STDEVP(A2:E3) = 26.05
© 1992-2015. ReliaSoft Corporation. ALL RIGHTS RESERVED.