![]()
| Related Topics: | ||
Description: Returns a normalized value.
Syntax: STANDARDIZE(x, Mean, Standard_dev)
x is the value you want to normalize.
Mean is the arithmetic mean of the distribution.
Standard_dev is the standard deviation of the distribution.
Remarks:
Standard_dev must be > 0.
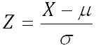
The equation for the normalized value is:

Example:
STANDARDIZE(42,40,1.5) = 1.333333
© 1992-2015. ReliaSoft Corporation. ALL RIGHTS RESERVED.