![]()
| Related Topics: | ||
Description: Returns the negative binomial distribution. NEGBINOMDIST returns the probability that there will be Number_F failures before the Number_S-th success, when the constant probability of a success is Probability_S. This function is similar to the binomial distribution, except that the number of successes is fixed, and the number of trials is variable. Like the binomial, trials are assumed to be independent.
Syntax: NEGBINOMDIST(Number_F, Number_S, Probability_S)
Number_F is the number of failures.
Number_S is the threshold number of successes.
Probability_S is the probability of a success.
Remarks:
Number_F and Number_S must be integers.
Arguments must be numerical.
Probability_S must be => 0 and <= 1.
(Number_F + Number_S - 1) must be > 0.
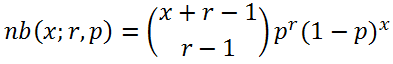
The equation for the negative binomial distribution is:

where x is Number_F, r is Number_S, and p is Probability_S.
Example:
NEGBINOMDIST(10,5,0.25) = 0.055049
© 1992-2015. ReliaSoft Corporation. ALL RIGHTS RESERVED.