![]()
| Related Topics: | ||
Description: Returns the Fisher transformation at x. This transformation produces a function that is normally distributed rather than skewed.
Syntax: FISHER(x)
x is the value for which you want to perform the transformation.
Remarks:
x must be a number.
x must be > -1 and < 1.
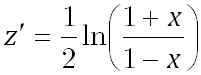
The equation for the Fisher transformation is:

Example:
FISHER(0.75) = 0.972955
© 1992-2015. ReliaSoft Corporation. ALL RIGHTS RESERVED.