
When you select the AGREE allocation model in the Allocation utility, the Elements field in the control panel will update automatically to display the number of blocks that you have selected to include in the analysis (i.e., the number of check boxes that are selected in the Include column of the table).
In the Reliability Goal field in the control panel, enter the desired overall reliability for the system (expressed as a decimal from 0 to 1, excluding 0). Then enter the following information for each selected block in the table:
The Operating Time is the length of time, in hours, over which the reliability is calculated.
The Importance Factor is an indication of how critical the block is to the overall system operation, expressed as a decimal from 0 to 1, where 0 indicates that the block's failure will not cause any problems for the system and where 1 indicates that the block's failure will definitely cause system failure.
The Number of Sub-Elements is the number of the block's components to be considered in the analysis. This can be either the same number as in the analysis, or a different number for experimental purposes.
Once you have entered all required information, click the Calculate icon. The following results will be displayed in the table for each block selected to be included in the analysis:
Reliability Allocated is the reliability goal for the block, expressed as a decimal value from 0 to 1, excluding 0.
Allocated Failure Rate is the recommended failure rate for the block, based on the allocation analysis. This calculated result is expressed in failures per million hours (FPMH) for MIL-217 and NSWC, and in failures per billion hours (FITS) for Bellcore/Telcordia and FIDES.
Allocated MTBF (hrs) is the recommended mean time between failures for the block, based on the allocation analysis. This calculated result is always expressed in hours.
Current Failure Rate is the current failure rate for the block based on the current reliability prediction so you can compare with the recommended value.
Description:
Developed by the Advisory Group on Reliability of Electronic Equipment (AGREE).
Technique includes both the complexity and the importance of each element.
Assumption is that it should be used for series elements with exponential failure distributions.
Model is based on Mean Time Between Failure (MTBF).
The importance factors are based on the estimated probability of product failure as a result of element failure. The steps are as follows:
Determine the probability of each element causing product failure.
Calculate the MTBF of each element.
Calculate the allocated reliability of each element.
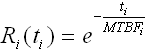
Model:

and:

where:
i = 1, 2, ..., n elements.
t = product operating time.
ti = element i operating time. Must be > 0.
wi = importance factor for element i.
ni = number of sub-elements i. Must be > 0.
R(t) = product reliability.
Ri(ti) = allocated reliability for each element i.
MTBFi = allocated MTBF for the element.
N =
= total sub-elements.
© 1992-2017. HBM Prenscia Inc. ALL RIGHTS RESERVED.
![]() |
E-mail Link |