
| Related Topics: | ||
The following plots are available for general full factorial designs with standard response data. For information about all the different plots that can be displayed in a design folio, see Design Folio Plots.
Effect Plots
Effects plots allow you to visually evaluate the effects of factors and factorial interactions on the selected response.
The Pareto Chart - Regression plot shows the standardized effect of each term (i.e., factor or combination of factors). The vertical blue line is the threshold value. If a bar is beyond the blue line, it will be red, indicating that the effect is significant.
The Pareto Chart - ANOVA* plot shows the inverse p value (1 - p) of each term. The vertical blue line is the threshold value. If a bar is beyond the blue line, it will be red, indicating that the term is significant.
The Effect Probability plot is a linear representation of probability versus the standardized effect (i.e., the probability that any term’s standardized effect will be lower than the given value). The points on this plot represent the values for each term in the T Value column of the Regression Table in the detailed analysis results. If there is no error in the design, then the probability versus the effect is shown and the points on this plot represent the values for each term in the Effect column of the Regression Table in the analysis results.
The Main Effects plot shows the mean effect of the selected factor(s). The points are the observed Y values at the low and high level for each factor. The line connects the mean value at each factor level. Note that if you are using actual factor values in the plot, you can plot only one factor at a time. If you are using coded values, you can plot multiple factors simultaneously.
The Interactions plot shows the mean effect of a selected factor versus another selected factor at each level. If the green and red mean effect lines are parallel, there is no interaction between the two factors.
The Interaction Matrix shows multiple Interactions plots. The plots shown depends on the factors you select. For example, if you select factors A and B, then two interactions plots will be shown: one showing A versus B and another showing B versus A.
The Term Effect Plot shows the fitted means for all combinations of all factor levels for each selected term.
The Cube Plot shows the predicted values of the selected response for the combinations of the low and high levels of three selected factors. Note that you have the option of selecting "none" for the third factor, generating a square (2-dimensional) plot. Only two level factors can be included in the Cube plot and at least two quantitative factors (each run at two levels) must be included in the model for the Cube plot to be available.
The Scatter Plot shows the observed values of the currently selected response plotted against the levels of the selected factor.
Residuals Plots
Residuals are the differences between the observed response values and the response values predicted by the model at each combination of factorial values. Residuals plots, which are available only when there is error in the design, help to determine the validity of the model for the currently selected response. All residuals plots allow the user to select the type of residual to be used:
Regular Residual is the difference between the observed Y and the predicted Y.
Standardized Residual is the regular residual divided by the constant standard deviation.
Studentized Residual is the regular residual divided by an estimate of its standard deviation.
External Studentized Residual is the regular residual divided by an estimate of its standard deviation, where the observation in question is omitted from the estimation.
The plots are described next.
The Residual Probability* plot is the normal probability plot of the residuals. If all points fall on the line, the model fits the data well (i.e., the residuals follow a normal distribution). Some scatter is to be expected, but noticeable patterns may indicate that a transformation should be used for further analysis. Two additional measures of how well the normal distribution fits the data are provided by default in the lower title of this plot. Smaller values for the Anderson-Darling test indicate a better fit. Smaller p values indicate a worse fit.
The Residual vs. Fitted* plot shows the residuals plotted against the fitted, or predicted, values of the selected response. If the points are randomly distributed around the "0" line in the plot, the model fits the data well. If a pattern or trend is apparent, it can mean either that the model does not provide a good fit or that Y is not normally distributed, in which case a transformation should be used for further analysis. Points outside the critical value lines, which are calculated based on the specified alpha (risk) value, may be outliers and should be examined to determine the cause of their variation.
The Residual vs. Order* plot shows the residuals plotted against the order of runs used in the design. If the points are randomly distributed in the plot, it means that the test sequence of the experiment has no effect. If a pattern or trend is apparent, this indicates that a time-related variable may be affecting the experiment and should be addressed by randomization and/or blocking. Points outside the critical value lines, which are calculated based on the specified alpha (risk) value, may be outliers and should be examined to determine the cause of their variation.
The Residual vs. Factor* plot shows the residuals plotted against values of the selected factor. It is used to determine whether the residuals are equally distributed around the "0" value line and whether the spread and pattern of the points are the same at different levels. If the size of the residuals changes as a function of the factor’s settings (i.e., the plot displays a noticeable curvature), the model does not appropriately account for the contribution of the selected factor. Points outside the critical value lines, which are calculated based on the specified alpha (risk) value, may be outliers and should be examined to determine the cause of their variation.
The Residual Histogram* is used to demonstrate whether the residual is normally distributed by dividing the residuals into equally spaced groups and plotting the frequency of the groups.
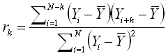
The Residual Autocorrelation* plot shows a measure of the correlation between the residual values for the series of runs (sorted by run order) and one or more lagged versions of the series of runs, calculated as follows:

where:
k is the lag.
is the mean value of the original series of runs.
For example, lag 1 shows the autocorrelation of the residuals when run 1 is compared with run 2, run 2 is compared with run 3 and so on. Lag 3 shows the autocorrelation of the residuals when run 1 is compared with run 4, run 2 is compared with run 5 and so on. Any lag that is displayed in red is considered to be significant; in other words, there is a correlation within the data set at that lag. This could be caused by a factor that is not included in the model or design, and may warrant further investigation.
The Fitted vs. Actual plot shows the fitted, or predicted, values of the currently selected response plotted against the actual, or observed, values of the response. If the model fits the data well, the points will cluster around the line.
Diagnostic Plots
The Leverage plot shows leverage plotted against the order of runs used in the design. Leverage is a measure (between 0 and 1) of how much a given run influences the predicted values of the model, where 1 indicates that the actual response value of the run is exactly equal to the predicted value (i.e. the predicted value is completely dependent upon the observed value). Points that differ greatly from the rest of the runs are considered outliers and may distort the analysis.
The Cook’s Distance* plot can show Cook’s distance (i.e., a measure of how much the output is predicted to change if each run is deleted from the analysis) plotted against either the run order or the standard order for the currently selected response. Points that differ greatly from the rest of the runs are considered outliers and may distort the analysis.
The Box-Cox Transformation* plot can help determine, for the currently selected response and model, what transformation, if any, should be applied. The plot shows the sum of squares of the residuals plotted against lambda. The value of lambda at the minimum point of this curve is considered the "best value" of lambda, and indicates the appropriate transformation, which is also noted by default in the lower title of the plot.
* These plots are available only when there is error in the design, indicated by a positive value for sum of squares for Residual in the ANOVA table of the analysis results.
© 1992-2015. ReliaSoft Corporation. ALL RIGHTS RESERVED.