
| Related Topics: | ||
Description: Estimates variance based on a sample (ignores logical values and text in the sample).
Syntax: VAR(Number1, Number2, ...)
Number1, Number2, ... are 1 to 30 number arguments corresponding to a sample of a population.
Remarks:
VAR assumes that its arguments are a sample of the population. If your data represents the entire population, then compute the variance by using VARP.
Arguments can either be numbers or names, arrays or references that contain numbers.
Logical values, and text representations of numbers that you type directly into the list of arguments are counted.
If an argument is an array or reference, only numbers in that array or reference are counted. Empty cells, logical values, text or error values in the array or reference are ignored.
Arguments that are error values or text that cannot be translated into numbers cause errors.
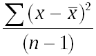
VAR uses the following formula:

where x is the sample mean AVERAGE(Number1, Number2,…) and n is the sample size.
Example:
Suppose 10 tools stamped from the same machine during a production run are collected as a random sample and measured for breaking strength. The sample values (1345, 1301, 1368, 1322, 1310, 1370, 1318, 1350, 1303, 1299) are stored in A2:A11, respectively. VAR estimates the variance for the breaking strength of the tools.
VAR(A2:A11) = 754.2666667 [the variance for the breaking strength of the tools]
© 1992-2015. ReliaSoft Corporation. ALL RIGHTS RESERVED.