
| Related Topics: | ||
Description: Returns the modified Bessel function Kn(x), which is equivalent to the Bessel function evaluated for purely imaginary arguments.
Syntax: BESSELK(Number, Order)
Number is the value at which to evaluate the function.
Order is the order of the function.
Remarks:
Both arguments must be numerical.
Order must be >= 0 and an integer.
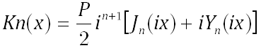
The n-th order modified Bessel function of the variable x is:

where Jn and Yn are the J and Y Bessel functions, respectively.
Example:
Compute the Modified Bessel function at x = 1.5 with an order of n = 1.
BESSELK(1.5, 1) = (0.277388)
© 1992-2015. ReliaSoft Corporation. ALL RIGHTS RESERVED.