
| Related Topics: | ||

Description: Returns the negative binomial distribution. NEGBINOMDIST returns the probability that there will be Number_F failures before the Number_S-th success, when the constant probability of a success is Probability_S. This function is similar to the binomial distribution, except that the number of successes is fixed, and the number of trials is variable. Like the binomial, trials are assumed to be independent.
Syntax: negbinomdist(Number_F, Number_S, Probability_S, Cumulative)
Number_F is the number of failures.
Number_S is the threshold number of successes.
Probability_S is the probability of a success.
Cumulative is a logical value that determines the form of the function. If Cumulative is TRUE, negbinomdist returns the cumulative distribution function; if FALSE, it returns the probability density function.
Remarks:
Number_F and Number_S must be integers.
Arguments must be numerical.
Probability_S must be => 0 and <= 1.
(Number_F + Number_S - 1) must be > 0.
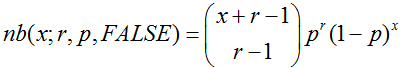
If Cumulative is FALSE, then the equation for the probability density function is:

where x is Number_F, r is Number_S, and p is Probability_S.
If Cumulative is TRUE, the equation for the cumulative distribution function is:

Note that I(z;a,b) is the regularized beta function.
All parameter values can include:
Numerical values
Standard operands (+, -, *, /)
Predefined mathematical functions (exp, log, sin, etc.)
References to any analysis workbooks
Example:
negbinomdist(10,5,0.25, FALSE)
Returns
0.055049
© 1992-2015. ReliaSoft Corporation. ALL RIGHTS RESERVED.