
| Related Topics: | ||
Description: Returns the inverse of the Fisher transformation. If y = FISHER(x), then FISHERINV(y) = x.
Syntax: FISHERINV(y)
y is the value for which you want to perform the inverse of the transformation.
Remarks:
y must be a number.
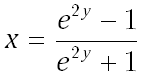
The equation for the inverse of the Fisher transformation is:

When used in a RENO flowchart, y must evaluate to a numerical value. It can include:
Numerical values
Standard operands (+, -, *, /)
Predefined mathematical functions (exp, log, sin, etc.)
References to any analysis workbooks
Example:
FISHERINV(0.972955) = 0.75
© 1992-2015. ReliaSoft Corporation. ALL RIGHTS RESERVED.