
|
|
||

Minimal cut sets are all the unique combinations of component failures that can cause system failure. Specifically, a cut set is said to be a minimal cut set if, when any basic event is removed from the set, the remaining events collectively are no longer a cut set. [1]
Minimal cut sets have traditionally been used to obtain an estimate of reliability for complex RBDs or fault trees that cannot be simplified by a combination of the simple constructs (parallel, series, k-out-of-n). BlockSim has the capability to derive an exact analytical solution to complex diagrams and therefore does not utilize the cut sets methodology. Nevertheless, cut sets are provided in BlockSim for interested users.
Minimal cut sets can be used to understand the structural vulnerability of a system. The longer a minimal cut set is, the less vulnerable the system is to that combination of events. Also, numerous cut sets indicate higher vulnerability. Cut sets can also be used to discover single point failures (one independent element of a system that causes an immediate hazard to occur and/or causes the whole system to fail).
As an example, consider the fault tree shown next.

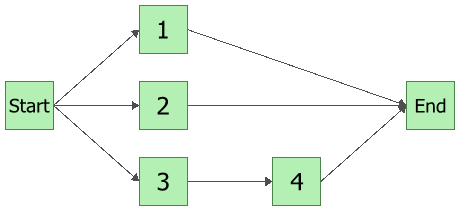
The system will fail if {1, 2, 3 and 4 fail} or {1, 2 and 3 fail} or {1, 2 and 4 fail}. All of these are cut sets. However, the one including all components is not a minimal cut set because, if 3 or 4 is removed, the remaining events are also a cut set. Therefore, the minimal cut sets for this configuration are {1, 2, 3} or {1, 2, 4}. This may be more evident by examining the RBD equivalent of the fault tree, as shown next.

The minimal cut sets are shown next.

As you can see, BlockSim considers this to be a single set with two subsets, each of which contains three blocks.
You can view the cut sets for an analytical diagram by choosing Analysis > Tools > Show Cut Sets.
![]()
The Cut Sets Setup window will appear, as shown next.

In the Sort By area, select the criterion you want to sort the cut sets by. You can select:
Size: Cut sets will be shown in ascending order based on the number of blocks they contain.
Reliability or Unreliability: Cut sets will be shown in ascending order of reliability or unreliability. Reliability is the probability that at least one block in the cut set survives. Unreliability is the probability that all blocks in the cut set fail. If you select either of these options, you must specify a time at which the reliability or unreliability is calculated and the units used for the time.
In the Number of Cut Sets to Display area, you can select to display all cut sets or specify the number of cut sets that will be shown.
In the Other Options area:
Show settings summary: If selected, the diagram name and a summary of the settings chosen in the Cut Set Setup window will appear at the top of the cut sets display.
Show number of blocks in cut sets: If selected, the number of blocks in each cut set will be shown in parentheses after the set number.
Include blocks without reliability models: If selected, all blocks are assumed to be able to fail and are considered in cut sets. If not selected, it is assumed that any block without a reliability model assigned cannot fail and, as such, is excluded from consideration in cut sets.
Click OK to accept your selections and display the minimal cut sets in the Cut Sets window.
In addition to standard commands for cut, copy, paste and print, the toolbar in the Cut Sets window also provides the Change Settings button, which reopens the setup window so you can change the settings and regenerate the display.
© 1992-2019. HBM Prenscia Inc. ALL RIGHTS RESERVED.
| E-mail Link |